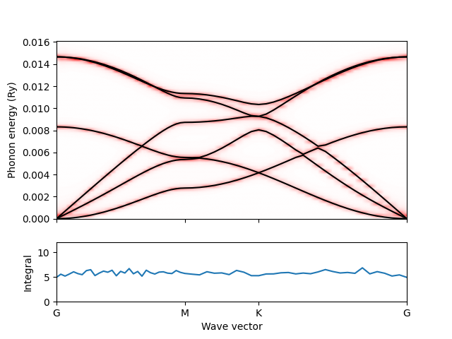
Phonon spectral function

#!/usr/bin/env python3

# Copyright (C) 2017-2026 elphmod Developers
# This program is free software under the terms of the GNU GPLv3 or later.

import elphmod.models.graphene
import matplotlib.pyplot as plt
import numpy as np

comm = elphmod.MPI.comm
info = elphmod.MPI.info

info('Define parameters')

to_screen = True

nk = 60
width = 300
height = 300

kT = 0.01
f = elphmod.occupations.fermi_dirac

eta1 = 0.001 # broadening of self-energy
eta2 = 0.0001 # broadening of all modes

# cDFPT dielectric properties:
# https://arxiv.org/src/2102.10072v2/anc/C2/cDFPT.ph

epsxy = 1.37
epsz = 1.16
Z = 0.64
L = 5.0 # cf. Ponce' et al., Phys. Rev. B 107, 155424 (2023)

info('Load model Hamiltonian for graphene')

elphmod.models.graphene.create('data/graphene')

el = elphmod.el.Model('data/graphene')
ph = elphmod.ph.Model('data/graphene.ifc')
elph = elphmod.elph.Model('data/graphene.epmatwp', 'data/graphene.wigner',
    el, ph)

el.data /= elphmod.misc.Ry

info('Sample and diagonalize model Hamiltonian')

q, x, GMKG = elphmod.bravais.GMKG(nk, corner_indices=True, mesh=True,
    straight=False, lift_degen=False)

e, U = elphmod.dispersion.dispersion_full_nosym(el.H, nk, vectors=True)

D0 = elphmod.dispersion.sample(ph.D, q)
w0 = elphmod.ph.sgnsqrt(np.linalg.eigvalsh(D0))

g = elph.sample(q, U=U, shared_memory=True)

if not to_screen:
    ph.lr = True
    ph.lr2d = True

    ph.eps = np.diag([epsxy, epsxy, epsz])
    ph.Z = np.repeat(np.diag([Z, Z, 0.0])[np.newaxis], ph.nat, axis=0)
    ph.L = L

    ph.prepare_long_range()

    G = elph.sample(q, U=U, shared_memory=True)
else:
    G = g

info('Calculate retarded displacement-displacement correlation function')

w, dw = np.linspace(0.0, 1.1 * w0.max(), len(q), retstep=True)

Pi0 = elphmod.diagrams.phonon_self_energy(q, e, g=g, G=G, kT=kT, occupations=f)

Piw = elphmod.diagrams.phonon_self_energy(q, e, g=g, G=G, kT=kT, occupations=f,
    omega=w + 1j * eta1)

Dw = D0[..., None] - Pi0[..., None] + Piw

A = elphmod.ph.spectral_function(Dw, w, eta2)

info('Plot results')

maximum = abs(A).max()

integral = A.sum(axis=0) * dw

A = elphmod.plot.adjust_pixels(A, GMKG, x[GMKG], width, height)

if comm.rank == 0:
    fig, (ax1, ax2) = plt.subplots(2, 1, sharex=True,
        gridspec_kw=dict(height_ratios=(3, 1)))

    ax1.set_ylabel('Phonon energy (Ry)')
    ax2.set_ylabel('Integral')
    ax2.set_xlabel('Wave vector')
    ax2.set_xticks(x[GMKG])
    ax2.set_xticklabels('GMKG')

    ax1.imshow(A[::-1], extent=(x[0], x[-1], w[0], w[-1]),
        vmin=-maximum, vmax=maximum, cmap='bwr')
    ax1.plot(x, w0, 'k')
    ax1.axis('auto')

    ax2.plot(x, integral)
    ax2.set_ylim(0.0, 2 * ph.size)

    plt.savefig('specfun.png')
    plt.show()
../_images/specfun.png